近日,球王会谭浩教授团队联合华东师范大学心理与认知科学公司蒯曙光教授团队在国际重要期刊《Journal of Medical Internet Research》(中科院SCI医学大类一区)上发表了题为《Long-term Effects of the COVID-19 Pandemic on Public Sentiments in Mainland China: Sentiment Analysis of Social Media Posts》的研究成果。该论文通过球王会于2017年建成的“中国用户反馈大数据平台”,获取超过6400万条新浪微博数据,在2020年持续跟踪的基础上,与2018和2019年数据进行对比,分析社交媒体上的公众情绪的变化,研究了新型冠状病毒肺炎COVID-19对中国大陆地区公众的长期影响。研究发现,新型冠状病毒肺炎COVID-19不仅在最初的爆发期间影响了社交媒体上公众的情绪,甚至在恢复期(2020年4月29日以后)还在持续地产生影响。这是球王会针对新冠疫情这一重大卫生应急事件,在应急设计(Design for emergency)领域开展人类行为、情绪与体验的基础研究的成果之一,其研究结论可以为后疫情时代的交互体验设计提供基础研究和数据支撑。
论文的第一作者为球王会谭浩教授,通讯作者为华东师范大学心理与认知科学公司蒯曙光教授,其他作者包括球王会博士研究生彭盛兰,硕士研究生朱春鹏,博士研究生尤作和华东师范大学心理与认知科学公司硕士研究生缪明诚。

中国大陆作为首个遭受到新型冠状病毒肺炎疫情影响的地区,也是首个成功从疫情冲击中复苏的主要经济体,在新冠疫情流行的不同阶段,通过监测中国大陆社交媒体的公众情绪,可以即时全面了解新冠疫情对公众心理健康的影响。
论文对64723242条新浪微博开展研究,不仅分析了2020年全年的数据,还利用2018年和2019年全年的数据作为对照组进行分析。研究发现,自2020年1月20日卫健委确认新型冠状病毒肺炎人传人,以及1月23日武汉市进入封锁状态后,社交媒体上的公众情绪迅速下降,并在三周后到达最低点。此后,随着疫情得到控制,公众情绪逐渐恢复并在第十七周达到峰值。在这之后,尽管中国大陆的疫情防控已经进入常态化,但是公众情绪意外地进入了一个长期的螺旋下降过程。

2018-2020年微博上的公众情绪和2020年中国的新增病例
研究发现,公众情绪的第一次下降和疫情的严重程度显著的相关。但是,公众情绪的第二次意外下降却与全国新增病例数的之间不再存在显著关联。论文分别分析每省公众情绪的第一次下降幅度和第二次下降幅度之间的关系,结果表明,二者之间存在显著正相关。因此,第二次公众情绪的下降是第一次下降的后效,是新型冠状病毒肺炎COVID-19爆发引起的长期后果。

公众情绪第一次下降与第二次下降之间的相关性
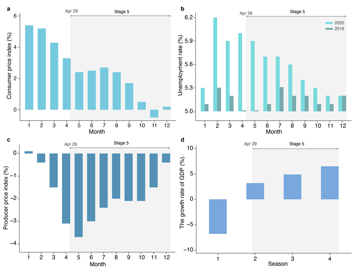
通过详细分析疫情防控常态化阶段各地区疫情的零星复发的情况,论文发现,在高风险期间和前后,全国和当地公众情绪的变化率近乎为零。论文进一步收集了2020年中国多项的经济指标和全球的病例数。研究结果表明,这种长期的负面影响既不是因为经济因素的影响,也不是因为受到了全球疫情发展的冲击。

疫情零星复发期间,全国和出现高风险地区省份的公众情绪

2020年中国各项经济指标

2020年微博上的公众情绪和全球的新增病例
新型冠状病毒肺炎COVID-19所引发的长期心理影响是相当复杂和深远的。总体来说,公众情绪的第二次下降具有以下几个特征。首先,第二次下降与疫情的严重程度是分离的。其次,第一次下降仅持续3周,而第二次下降至少持续了34周,下降速度比第一次慢得多。第三,社交媒体上的公众情绪在第二次下降中呈螺旋下降的趋势,而不是直线下降。这些特征表明,第二次下降不太可能是由单一事件引起的实时反应,而是反映了公众的长期情绪趋势。该论文的研究结果提醒公共卫生和政府的管理者,即使疫情得到控制,社会经济活动得到恢复,仍必须关注公众情绪,并采取必要行动缓解疫情引发的负面情绪。
球王会应急设计方向研究最早可以追溯到何人可教授在2008年亲历汶川地震后的文章《生存设计》。经过10余年的不断积累,面向人民生命健康,在2018年应急管理部成立后,从基于“自动驾驶汽车安全应急设计”开始,已经逐步拓展到包含交通事故、自然灾害、生产事故、重大卫生应急等多个领域,承担了多个国家安全和应急管理领域的国防与应急项目与课题,在应急运载工具、应急管理系统、应急人因工程于人机交互领域开展了一系列设计研究,取得了初步的成绩。
(论文下载地址:https://doi.org/10.2196/29150)